Designing an efficient Power Supply circuit is not less of a challenge. Those who have already worked with SMPS circuits would easily agree that the flyback transformer design plays a vital role in designing an efficient power supply circuit. Most times these transformers are not available off the shelf in the exact same parameter that suits our design. So in this transformer design tutorial we will learn how to build our own transformer as required by our circuit design. Do note that this tutorial covers only the theory using which later in another tutorial we will build a 5V 2A SMPS circuit with a handmade transformer as shown in image above for practical exposure. If you are completely new to transformer then please read the Basics of Transformer article to better understand the proceedings.
Parts in a SMPS transformer
An SMPS transformer design has different transformer parts which are directly responsible for the performance of the transformer. The parts present in a transformer are explained below, we will learn the importance of each part and how it should be selected for your transformer design. These parts hold same in most cases for other types of transformers as well.
Core
SMPS stands for switch-mode power supply unit. The properties of an SMPS transformer are highly dependent on the frequency in which they operate. High switching frequency opens up the possibilities to choose smaller SMPS transformers these high frequency, SMPS transformers uses ferrite cores.
The transformer core design is the most important thing in an SMPS transformer construction. A core has a different type of AL (Ungapped core inductance Coefficient) depending on the core material, core size, and core type. Popular type of core material are N67, N87, N27, N26, PC47, PC95, etc. Also, the manufacturer of ferrite cores provides detailed parameters in the datasheet, which will be useful while selecting the core for your transformer
For instance, here is a datasheet of popular core EE25.
The above image is a datasheet of EE25 core of PC47 material from a widely popular core manufacturer TDK. Each and every bit of information will be needed for transformer construction. However, Cores have a direct relationship of the output wattage, thus for different wattage of SMPS different shape and size of cores are required.
Here is the list of cores depending on the wattage. The list is based on 0-100W construction. The source of the list is taken from Power Integration documentation. This table will be useful to select the right core for your transformer design based on its wattage rating.
| Maximum Output Power | Ferrite cores for TIW construction | Ferrite cores for Margin Wound construction |
| 0-10W |
EPC17, EFD15, EE16, EI16, EF15, E187, EE19, EI19 |
EEL16, EF20, EEL19, EPC25, EFD25 |
| 10-20W |
EE19, EI19, EPC19, EF20, EFD20, EE22, EI22 |
EEL19, EPC25, EFD25, EF25 |
| 20-30W | EPC25, EFD25, E24/25, EI25, EF25, EI28 |
EPC30, EFD30, EF30, EI30, ETD29, EER28 |
| 30-50W |
EI28, EF30, EI30, ETD29, EER28 |
EI30, ETD29, EER28, EER28L, EER35 |
| 50-70W |
EER28L, ETD34, EI35, EER35 |
EER28L, ETD34, EER35, ETD39 |
| 70-100W |
EPC30, EFD30, EF30, EI30, ETD29, EER28 |
EER35, ETD39, EER40, E21 |
Here the term, TIW stands for Triple insulated wire construction. The E cores are the most popular and are widely used in SMPS transformers. However, E cores have several cases, such as EE, EI, EFD, ER, etc. They all look like the letter ‘E’, but the center part is different for each substance. The common types of E cores are illustrated below with help of images.
EE Core

EI Core

ER Core

EFD Core

Bobbin
A bobbin is the housing of cores and windings. A bobbin has an effective width which is essential to calculate the wire diameters and the construction of the transformer. Not only this, a bobbin of a transformer also has a dotted mark which provides the information of primary windings. The commonly used EE16 transformer bobbin is shown below

Primary winding
The SMPS transformer winding will have a primary winding and a minimum of one secondary winding, based on the design it might hav more secondary winding or an auxiliary winding. The primary winding is the first and innermost winding of a transformer. It is directly connected to the primary side of an SMPS. Usually number of winding on primary side is more than other windings of the transformer. Finding the Primary winding in a transformer is easy; one just needs to check the dot side of the transformer for the primary winding. It is generally situated across the high voltage side of the mosfet.
In an SMPS schematic, you can notice the high voltage DC from the high voltage capacitor connected with the primary side of the transformer and the other end is connected with the power driver (Internal mosfet drain pin) or with a separate high voltage MOSFET's drain pin.
Secondary winding
Secondary winding converts the voltage as well as the current on the primary side to the required value. Finding out the secondary output is a bit complex as in some SMPS designs the transformer usually has multiple secondary outputs. However, the output or low voltage side of an SMPS circuit is generally connected to the secondary winding. One side of the secondary winding is the DC, GND and the other side is connected across the output diode.
As discussed, an SMPS transformer can have multiple outputs. Therefore an SMPS transformer can also have multiple secondary windings.
Auxiliary windings
There are different types of SMPS design where the driver circuit needs an additional voltage source to power the driver IC. The auxiliary winding is used to provide this additional voltage to the driver circuit. For example if your driver IC is operating on 12V then the SMPS transformer will have an auxiliary output winding that can be used to power this IC.
Insulation tape
Transformers don't have an electrical connection between different windings. Therefore, before wrapping different windings, insulation tapes are needed to be wrapped around the windings for separation. Typical polyester barrier tapes are used with different width for different types of bobbins. The thicknesses of the tapes are required to be 1-2mil for providing insulation.
Transformer Design Steps:
Now that we know the basic elements in a transformer we can follow the below steps to design our own transformer
Step 1: Find the right core for the desired output. Choose the right cores listed in the above section.
Step 2: Finding out the Primary and secondary turns.
Primary and Secondary turns are interconnected and depend on other parameters. The transformer design formula to calculate the primary and secondary turns are-

Where,
Np is the primary turns,
Ns is the secondary turns,
Vmin is the minimum input voltage,
Vds is the drain to source voltage of the Power Mosfet,
Vo is the output voltage
Vd is the output diodes forward voltage drop
And Dmax is the maximum duty cycle.
Therefore, Primary and secondary turns are interconnected and have a turns ratio. From the above calculation the ratio can be set and thus by selecting the secondary turns, one can find out the primary turns. The good practice is to use 1 turns per output voltage of the secondary winding.
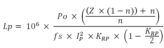
Step 3: The next stage is to find out the transformers primary inductance. This can be calculated by the below formula,

Where,
P0 is the output power,
z is the loss allocation factor,
n is the efficiency,
fs is the switching frequency,
Ip is peak primary current,
KRP is the ripple current to peak ratio.
Step 4: Next stage is to find out the effective inductance for the desired gapped core.


The above image shows what the gapped core is. Gapping is a technique to reduce the value of cores primary inductance to a desired value. Core manufacturers provide a gapped core for desired ALG rating. If the value is not available one can add spacers between the cores or grind it to get the desired value.
Step 5: The next step is to find out the diameter of primary and secondary wires. Diameter of primary wires in millimeters is

Where, BWE is the effective bobbin width and Np is the number of primary turns.
The diameter of secondary wires in millimeters is-

BWE is the effective bobbin width, NS is the number of secondary turns, and M is the margin on both side.The wires need to be converted in AWG or SWG standard.
For the secondary conductor, larger than 26 AWG is not permissible due to the increase of skin effect. In such case parallel wires can be constructed. In parallel wire winding, that means when more than two wires are needed to be winded for the secondary side, the diameter of each wire can behalf of the actual single wire value for easier winding across the secondary side of the transformer. This is why you find some transformers having dual wires on a single coil.
This is all about designing the SMPS transformer. Due to the critical design-related complexity, SMPS design software such as PI Expert for power integration or Viper from ST provides tools and excels for changing and configuring the SMPS transformer as required. To get a more practical exposure you can check this 5V 2A SMPS design tutorial where we used PI Expert to build our own transformer using the points discussed so far.
Hope you understood the tutorial and enjoyed learning something new, if you have any questions please feel free to leave them in the comment section or post them in the forums for faster response.